Diagnosing and Managing Acute Retinal Necrosis
A variety of treatment options exist for this rare but troubling condition.
ROBERT W. WONG, MD · EMMETT T. CUNNINGHAM, JR, MD, PhD, MPH
|
Robert W. Wong, MD, practices with Austin Retina Associates in Texas. Emmett T. Cunningham, Jr., MD, PhD, MPH, practices with West Coast Retina Medical Group in San Francisco, CA, and is on faculty at Stanford University, Palo Alto, CA, and California Pacific Medical Center, San Francisco. Neither author reports any financial interest in any products mentioned in this article. Dr. Wong’s e-mail is robertwongmd@gmail.com. |
Akira Urayama first described acute retinal necrosis syndrome (ARN) in 1971 as consisting of acute unilateral panuveitis associated with retinal periarteritis and progressing to diffuse necrotizing retinitis and retinal detachment.1 In 1978, Young and Bird coined the term BARN to describe patients with bilateral ARN.2
In 1994, the Executive Committee of the American Uveitis Society refined the definition of ARN based on clinical characteristics and disease course to include:
1) one or more foci of retinal necrosis with discrete borders located in the peripheral retina;
2) rapid progression in the absence of antiviral therapy;
3) circumferential spread;
4) evidence of occlusive vasculopathy with arterial involvement; and
5) a prominent inflammatory reaction in the vitreous and anterior chambers.3
Underlying Etiologies
While varicella zoster virus (VZV) or one of the herpes simplex viruses (HSV-1 or HSV-2) is most often the cause of ARN, cytomegalovirus (CMV) occasionally causes the condition. In addition, rare cases of Epstein-Barr virus-associated retinitis and panuveitis have occurred.
Acute retinal necrosis syndrome is uncommon. Two recently published nationwide surveys from the United Kingdom estimated the incidence of ARN at one case per 2 million people per year.4,5
However, since its original description by Dr. Urayama and colleagues, the literature on ARN has expanded. So too has our understanding of the syndrome. Our ability to detect and differentiate between various causes of retinitis, as well as effectively manage the disease process, both medically and surgically, have likewise improved.
CLINICAL SIGNS AND SYMPTOMS
Acute retinal necrosis syndrome typically presents with eye redness, periorbital pain, photophobia, and vision loss. Anterior-segment findings include episcleritis, scleritis, keratitis, and/or anterior chamber inflammation, which may be either nongranulomatous or granulomatous.
Posterior-segment findings include vitreous inflammation, one or more areas of full-thickness necrotizing retinitis, and occlusive arteritis. Signs of optic neuropathy may be present when the optic disc is involved.
A Lengthy Disease Course
In approximately one-third of patients, the fellow eye may become involved, typically within six weeks of initial presentation.6 Reports of delayed involvement years or decades later have appeared, however.7,8
Figure 1. Granulomatous anterior-chamber inflammation with large keratic precipitates in a patient with ARN.
COURTESY: PROFESSOR RUBENS BELFORT, JR
Prompt initiation with antiviral treatment can halt progression of the retinitis within weeks. With resolution of the active retinal infection and inflammation, pigmentary changes, along with retinal thinning and atrophy, develop, producing a scalloped appearance at the junction of infected and uninfected retina.
Vitreous traction may progress at this phase and may lead to proliferative vitreoretinopathy and retinal detachment, often with both tractional and rhegmatogenous components. Rhegmatogenous retinal detachment occurs in half to three-quarters of eyes with ARN and may develop weeks to months after initial presentation of retinitis.9,10
Delayed complications of ARN include chronic vitritis, macular edema, optic atrophy, epiretinal membrane formation, and phthisis.11 Reports have appeared of recurrence of retinitis following control of a primary infection.8,12
IMMUNE STATUS AND ARN
Historically, ARN was believed to affect otherwise healthy adults. However, increasing evidence suggests that patients who develop ARN may have underlying immune characteristics that put them at an increased risk of infection.
While no racial or sex-based predilection has been identified, some associations with class II human leukocyte antigen (HLA) expression, most notably HLA-DQw7 (phenotype Bw62) and DR4 antigens in Caucasian patients in the United States13 and HLA-Aw33, -B44, and -DRw6 antigens in Japan,14 have suggested a possible genetic contribution.
Furthermore, the clinical presentation of ARN is normally correlated with overall immune dysfunction,15,16 in that patients with a normal immune system or more subtle immune irregularities tend to have less severe panuveitis, whereas patients with relatively more severe immune dysfunction has less intraocular inflammation.
A Suggestive Name
An extreme in this regard is progressive outer retinal necrosis (PORN), which is observed in severely immunosuppressed, HIV-positive patients and tends toward minimal vitreous inflammation despite extensive retinal involvement.15
While the original description of PORN suggested a propensity for the posterior pole, and the description for ARN emphasized the retinal periphery, we now recognize that herpetic retinitis can affect any part of the retina, regardless of immune status.
DIAGNOSTIC TESTING, ETIOLOGY, AND DIFFERENTIAL DIAGNOSIS
Laboratory testing, specifically polymerase chain reaction-based analysis of intraocular fluid samples, has become increasingly valuable in the diagnosis of infectious retinitis17-20 and can influence diagnosis and treatment in a sizable portion of cases.21,22
Figure 2. Extensive peripheral necrotizing retinitis and periarteritis in an immunocompetent patient with ARN.
A relatively small sample volume from the anterior chamber is usually sufficient to detect copies of VZV, HSV, CMV, or Toxoplasmosis gondii DNA in patients with infectious retinitis.21,22 These tests are becoming more widely available and typically provide results within one week.
The PCR assays developed at the Francis I. Proctor Foundation have reported sensitivities and specificities of greater than 95% for the identification of VZV, CMV, and HSV.17,18,23 Other centers have reported lower sensitivities,22 and sensitivity is known to decrease dramatically when samples are taken following initiation of antiviral therapy.21,24
While some authors have suggested that serial quantitative PCR testing could be useful in monitoring viral activity and its response to antiviral therapy,25,26 thus directing duration of treatment,27 we have not employed serial testing in our practices.
Chickenpox and ARN
Varicella zoster virus infection accounts for the approximately half of reported cases of ARN in HIV-uninfected patients.28 The majority of the remaining cases in these patients result from infection with HSV-1 or HSV-2, and less commonly CMV.
In patients with ARN and concomitant HIV infection, VZV is still the most often found virus, causing over one-third of cases. In turn, CMV is a more frequent cause than HSV-1 or HSV-2.28
In PORN, VZV is found in more than 70% of cases with CMV, HSV-1 or HSV-2 in a small minority of cases.28 Varicella and HSV-1 are more likely in middle-aged or older patients,29 while HSV-2 tends to affect young adults and children.30,31 In patients with concomitant central nervous system disease, such as encephalitis or meningitis, the likely most pathogens are HSV-1 and HSV-2, respectively.29
Figure 3. (A) Peripheral necrotizing retinitis and periarteritis. (B) Midphase fluorescein angiogram showing extensive peripheral nonperfusion with segmental arteriolar occlusion. Nodular arteritis with Kyrieleis plaques is also evident.
The differential diagnosis of viral retinitis includes syphilitic retinitis, toxoplasmic retinochoroiditis, primary vitreo-retinal lymphoma, sarcoidosis, tuberculosis, toxocariasis, fungal or bacterial retinitis/endophthalmitis, Behçet’s disease, and severe retinal vasculitis producing retinal whitening.
MEDICAL TREATMENT
The antiviral treatment of ARN has evolved over the last two decades. Traditionally, the standard-of-care treatment for ARN has been inpatient hospitalization with intravenous acyclovir (Zovirax, Valeant Pharmaceuticals, Bridgewater, NJ) therapy given until resolution of the retinitis.
However, the availability of newer oral medications with high bioavailability, used in conjunction with intravitreal injections, has changed the approach to the management of viral retinitis, including recent trends toward outpatient management.
Acyclovir is a purine nucleoside analogue with viral static effects against human herpes infections. It halts viral replication by inhibiting DNA polymerase. Acyclovir requires viral thymidine kinase for activation.
Because the bioavailability of oral acyclovir is relatively low, traditional acyclovir-based therapy required hospitalization for induction with intravenous acyclovir, typically at doses of 10 to 15 mg per kg every eight hours. This treatment preceded oral acyclovir, 800 mg five times daily, for three to four months.32-34
Newer Drugs
Newer oral agents such as valacyclovir (Valtrex, GlaxoSmithKline, Philadelphia, PA), which is the prodrug to acyclovir, and famciclovir (Famvir, Novartis, East Hanover, NJ), which is the prodrug to penciclovir (Denavir, Prestium Pharma, Newtown, PA), have increased bioavailability relative to oral acyclovir and have produced systemic concentrations nearly equal to those obtained with intravenous acyclovir,35 achieving systemic levels greater than the in vitro 50% inhibitory concentrations of VZV, HSV-1 and HSV-2.36,37
Figure 4. Extensive PORN in two HIV-infected patients. (A) HSV-2. (B) VZV.
Orally administered valacyclovir at 2 g TID can achieve systemic levels similar to intravenous acyclovir,38-40 resulting in prompt resolution of ARN in small case series.38,39
Famciclovir given at 500 mg TID has also been effective in treating ARN.38 Systemic side effects of any of these antiviral medications are uncommon, but one should monitor patients routinely for change in renal function.
INTRAVITREAL ANTIVIRAL THERAPY
Intravitreal therapy can deliver a bolus of antiviral medication directly to the affected eye. The patient can receive it immediately following diagnostic sampling of aqueous or vitreous fluid.
Doctors have used foscarnet (Foscavir, Clinigen, Philadelphia, PA) injected intravitreally to treat ARN caused by both HSV and VZV in adults41,42 and children,42,43 and in ARN associated with acyclovir-resistant VZV.44,45 The 2.4 mg/0.1 mL dose of foscarnet requires no dilution from the commercially available intravenous solution.
Different Dosing Options
High-dose intravitreal injections of ganciclovir have also been effective in treating herpetic infections in both immunosuppressed46,47 and immuno-competent41,48,49 patients. The typical dose of 2 mg/0.1 mL per injection given two or three times weekly does require pharmacy compounding but is widely available.
Figure 5. Isolate frequency by patient group. HIV-negative ARN vs HIV-positive ARN vs PORN.28
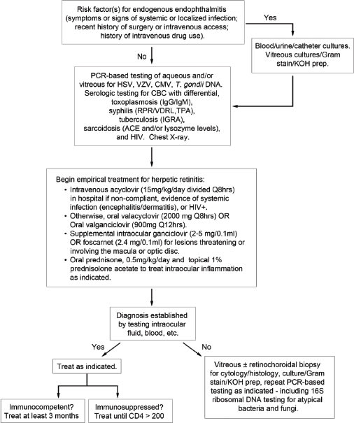
Figure 6. Decision tree summarizing the recommended approach for the patient with retinitis of unclear etiology.
A higher 5 mg/0.1 mL dose of ganciclovir given once per week can effectively treat patients with CMV retinitis in HIV-positive patients and may offer clinicians another option.50 In practice, clinicians tend to employ intravitreal treatment in conjunction with systemic antiviral therapy.
Ganciclovir is also available as a surgically implanted delivery device (Vitrasert, Bausch + Lomb, Rochester, NY) and can release a sustained concentration of 1 µg per hour over eight months directly into the vitreous cavity for patients with ARN related to CMV. The device is well-tolerated, and surgical complications are low.51,52
RESISTANCE TO MEDICAL THERAPY
Modifications in viral thymidine kinase can lead to resistance of herpes viruses to several of the antiviral agents, including acyclovir (and its prodrug vala-cyclovir), famciclovir, ganciclovir (and its prodrug valganciclovir), as they require enzymatic activation to be effective.
Herpes simplex virus resistance to acyclovir has been well documented and can occur in less than 1% of the immunocompetent patients, but it has been reported as high as 14% in immuno-compromised individuals on long-term antiviral medication.53
In contrast, VZV resistance to acyclovir is rare and only reported in a small case series.53 Fortunately, foscarnet, which does not require activation with viral thymidine kinase, is an option to treat acyclovir-resistant HSV and VZV strains.44,54-56
Moreover, ganciclovir-resistant CMV strains have also been susceptible to foscarnet, but we should note that CMV resistance to fos-carnet may increase with cumulative therapy.57
Rarely, cross-resistance between acyclovir and ganciclovir, both of which require thymidine kinase, and foscarnet can occur,57 posing an even greater management challenge.
LASER PHOTOCOAGULATION
The use of laser photocoagulation in patients with ARN is controversial, and the level of evidence supporting its use is generally weak.58-60 Moreover, dense vitritis often limits the view to the posterior pole, making adequate laser treatment difficult.
Still, some clinicians believe that creating a confluent laser barricade posterior to the active retinitis could theoretically reduce the risk of retinal detachment.10,61,62
RETINAL SURGERY
Rhegmatogenous retinal detachment, often in conjunction with vitreous condensation, inflammation, and PVR, occurs in up to three-quarters of patients with ARN.9,10,62,63 Management of retinal detachment should address both tractional and rhegmatogenous components.
Rhegmatogenous retinal detachment, often in conjunction with vitreous condensation and PVR, occurs in up to three-quarters of patients with ARN.
The Role of Vitrectomy
Pars plana vitrectomy, with or without lensectomy, air-fluid exchange, endolaser, and long-acting gas or silicone oil tamponade, can be beneficial in reattachment rates and recovery of vision.59,64-68
The addition of a scleral buckle does not seem to affect visual or anatomical outcomes significantly,63 nor does the choice of silicone oil or long-acting gas tamponade.59
Early prophylactic vitrectomy to prevent retinal detachment is controversial. Some authors believe that early vitrectomy with antiviral lavage lowers the risk of retinal detachment. Others have found no advantage to early surgery.67
Unfortunately, in some cases, despite the anatomic success of surgical intervention, final VA may be poor — especially when the infection has involved the optic disc and/or macula.59,60,63-66
APPROACH TO DIAGNOSIS AND MANAGEMENT OF RETINITIS
Diagnosis of a patient with retinitis of unclear etiology begins with a full history, review of systems, and a complete ophthalmological examination. When endogenous endophthalmitis is possible, vitreous, blood, urine, and, as appropriate, catheter cultures, Gram stain, and potassium hydroxide (KOH) studies should be obtained. PCR-based testing for HSV, VZV, CMV, and T. gondii DNA should occur on separate anterior chamber or vitreous aspirate (volume >0.05 mL).
Samples should be securely capped and packaged on ice and sent to a laboratory approved for the handling and testing of ocular samples. Additional testing may vary from patient to patient.
Our Recommended Panel
We recommend serological studies include both nonspecific (venereal disease research laboratory or rapid plasmin regain test) and specific (eg, FTA-ABS) treponemal antibody tests, T. gondii antibody testing (IgG and IgM), serum angiotensin converting enzyme and/or lysozyme levels, an interferon-release assay for prior exposure to Mycobacterium tuberculosis (T-Spot.TB or QuantiFERON), and testing for HIV exposure. We recommend a chest X-ray looking for evidence of either sarcoidosis or tuberculosis as well.
Due to the rapid progression of ARN in comparison to other causes of retinitis, antiviral treatment for presumed ARN should begin while awaiting the test results.
When to Hospitalize
The decision to admit the patient for inpatient hospitalization and intravenous antiviral therapy may depend on several factors, including the presence or suspicion of associated systemic herpetic virus infection, HIV status, patient age and compliance, the extent and location of the retinal necrosis and vision.
For otherwise healthy and compliant adults with no evidence of systemic infection and relatively good vision, treatment can start with oral valacyclovir (2,000 mg three times daily) as an outpatient.
Patients who are immunocompromised or who demonstrate clinical signs or symptoms of encephalitis or disseminated dermatitis may be best suited for inpatient treatment and monitoring for neurological or dermatological complications in conjunction with these respective specialists.
Treatment Regimens
Intravenous antiviral therapy with acyclovir typically starts at 10-15 mg/kg/day every eight hours. It should continue for at least seven days. Patients can then switch to oral therapy with acyclovir (800 mg five times daily), valacyclovir (1,000 mg TID), or famciclovir (500 mg TID).
For immune-competent patients, therapy should continue for a minimum of three to four months. For HIV+/AIDS patients, prolonged antiviral therapy might be necessary, or at least until the CD4 count is repeatedly greater than 200 cells/mL, as effective immune recovery with antiretroviral agents will be important for the resolution of the viral retinitis.
Patients on antiviral medication should undergo monitoring for the development of hematopoietic or renal toxicity, particularly if treated with ganciclovir or valganciclovir. For patients in whom resistance to acyclovir or valacyclovir is suspected, intravenous or intravitreal foscarnet may be indicated.
For patients with retinitis that threatens or involves the macula or optic disc, or if occlusive vasculitis or serous detachment occurs involving the posterior pole, an intravit-real injection of foscarnet or ganciclovir immediately following intraocular fluid sampling offers immediate therapy.
Longer-term Considerations
Furthermore, intravitreal antiviral injections can occur two to three times per week to treat active retinitis or to treat patients who are intolerant to systemic therapy.
In cases in which significant inflammation might accompany the vision loss, such as moderate to severe vitritis, serous retinal detachment, retinitis, or occlusive vasculitis involving or threatening the macula, the doctor can consider a course of oral corticosteroids.
Caution should be taken when starting corticosteroids without the initiation of antiviral medication, because this may promote untreated viral replication. A loading dose of 0.5 mg/kg/day of prednisone for the first seven to 10 days is typical. Topical prednisolone acetate 1% and a cycloplegic/mydriatic agent can be used to treat anterior chamber inflammation.
When needed, the doctor can add topical IOP-lowering medications to address ocular hypertension. Some studies have suggested the use of an oral antiplatelet agent, such as aspirin, to help prevent retinal vascular occlusion as well,69,70 although the use of such agents remains controversial.
LASER
When possible, the surgeon can perform placement of a confluent triple row of laser barricade immediately posterior to areas of active retinitis. Should a retinal detachment present in a patient with ARN, surgery addressing both tractional and rhegmatogenous components should occur soon after the initiation of systemic antiviral treatment.
Results from intraocular PCR and serological testing usually return within three to seven days, and the doctor can further tailor the treatment. In patients with CMV infection, treatment with intravenous ganciclovir or oral valgan-ciclovir should begin.
It is important to monitor for bone marrow suppression or nephrotoxicity. Should either occur, treatment with intraocular ganciclovir, delivered via repeated injections or with a sustained-release implant, or with intravitreal foscarnet injection to limit systemic toxicity should ensue.
In cases of retinitis due to toxoplasmosis, the patient should receive oral corticosteroids and the appropriate antimicrobial therapy.71,72 Patients with serological evidence of syphilis should undergo a spinal tap to check for CNS involvement and be managed as neurosyphilis with seven to 14 days of intravenous penicillin.73
A FINAL NOTE
For patients in whom the cause of retinitis remains unknown, the possibility of primary vitreoretinal lymphoma or atypical infection should be addressed with vitreous or endoretinochoroidal biopsy for cytology, histology, culture, Gram staining, KOH prep, and repeat PCR based testing as indicated, including consideration of 16S ribosomal DNA testing for atypical bacteria and fungi as appropriate. RP
REFERENCES
1. Urayama A YN, Sasaki T, Nishiyama Y, Watanabe S, Wakusawa S, Satoh Y, Takahashi K, Takei Y. Unilateral acute uveitis with periarteritis and detachment. Japan J Ophthalmol. 1971;25:607-619.
2. Young NJ, Bird AC. Bilateral acute retinal necrosis. Br J Ophthalmol. 1978;62:581-590.
3. Holland GN. Standard diagnostic criteria for the acute retinal necrosis syndrome. Executive Committee of the American Uveitis Society. Am J Ophthalmol. 1994;117:663-667.
4. Cochrane TF SG, McDowell C, Foot B, McAvoy CE. Acute Retinal Necrosis in the United Kingdom: results of a prospective surveillance study. Eye. 2012;Eye advance online publication 27 January 2012; doi: 10.1038/eye.2011.338.
5. Muthiah MN, Michaelides M, Child CS, Mitchell SM. Acute retinal necrosis: a national population-based study to assess the incidence, methods of diagnosis, treatment strategies and outcomes in the UK. Br J Ophthalmol. 2007;91:1452-1455.
6. Fisher JP, Lewis ML, Blumenkranz M, et al. The acute retinal necrosis syndrome. Part 1: Clinical manifestations. Ophthalmology. 1982;89:1309-1316.
7. Martinez J, Lambert HM, Capone A, et al. Delayed bilateral involvement in the acute retinal necrosis syndrome. Am J Ophthalmol. 1992;113:103-104.
8. Okunuki Y, Usui Y, Kezuka T, et al. Four cases of bilateral acute retinal necrosis with a long interval after the initial onset. Br J Ophthalmol. 2011;95:1251- 1254.
9. Clarkson JG, Blumenkranz MS, Culbertson WW, et al. Retinal detachment following the acute retinal necrosis syndrome. Ophthalmology. 1984;91:1665- 1668.
10. Lau CH, Missotten T, Salzmann J, Lightman SL. Acute retinal necrosis features, management, and outcomes. Ophthalmology. 2007;114:756-762.
11. Fernando A. Esposito GD, Thi Tran, Nathalie Cassoux, Christine Fardeau, Phuc Lehoang, Bahram Bodaghi. Long-term Visual Outcome Of Patients Presenting With Necrotizing Viral Retinopathies. Association for Research in Vision and Ophthalmology.. Fort Lauderdale, FL 2011.
12. Matsuo T. Timing of prophylactic and early vitrectomy for first-presenting or recurrent acute retinal necrosis syndrome. Acta Med Okayama. 2012;66:493- 497.
13. Holland GN, Cornell PJ, Park MS, et al. An association between acute retinal necrosis syndrome and HLA-DQw7 and phenotype Bw62, DR4. Am J Ophthalmol. 1989;108:370-374.
14. Ichikaw T sJ, Usui M. HLA antigens of patients with Kirisawa’s uveitis and herpetic keratiti. Alarashii Ganka. 1989;6:107-114.
15. Guex-Crosier Y, Rochat C, Herbort CP. Necrotizing herpetic retinopathies. A spectrum of herpes virus-induced diseases determined by the immune state of the host. Ocul Immunol Inflamm. 1997;5:259-265.
16. Rochat C, Polla BS, Herbort CP. Immunological profiles in patients with acute retinal necrosis. Graefes Arch Clin Exp Ophthalmol. 1996;234:547-552.
17. Cunningham ET Jr, Short GA, Irvine AR, et al. Acquired immunodeficiency syndrome--associated herpes simplex virus retinitis. Clinical description and use of a polymerase chain reaction--based assay as a diagnostic tool. Arch Ophthalmol. 1996;114:834-840.
18. Knox CM, Chandler D, Short GA, Margolis TP. Polymerase chain reaction--based assays of vitreous samples for the diagnosis of viral retinitis. Use in diagnostic dilemmas. Ophthalmology. 1998;105:37-44; discussion 44-35.
19. Short GA, Margolis TP, Kuppermann BD, et al. A polymerase chain reaction--based assay for diagnosing varicella-zoster virus retinitis in patients with acquired immunodeficiency syndrome. Am J Ophthalmol. 1997;123:157-164.
20. Yamamoto S, Pavan-Langston D, Kinoshita S, et al. Detecting herpesvi--rus DNA in uveitis using the polymerase chain reaction. Br J Ophthalmol. 1996;80:465-468.
21. Harper TW, Miller D, Schiffman JC, Davis JL. Polymerase chain reaction analysis of aqueous and vitreous specimens in the diagnosis of posterior segment infectious uveitis. Am J Ophthalmol. 2009;147:140-147 e142.
22. Rothova A, de Boer JH, Ten Dam-van Loon NH, et al. Usefulness of aqueous humor analysis for the diagnosis of posterior uveitis. Ophthalmology. 2008;115:306-311.
23. McCann JD, Margolis TP, Wong MG, et al. A sensitive and specific polymerase chain reaction-based assay for the diagnosis of cytomegalovirus retinitis. Am J Ophthalmol. 1995;120:219-226.
24. de Boer JH, Luyendijk L, Rothova A, et al. Detection of intraocular antibody production to herpesviruses in acute retinal necrosis syndrome. Am J Ophthalmol. 1994;117:201-210.
25. Cottet L, Kaiser L, Hirsch HH, Baglivo E. HSV2 acute retinal necrosis: diagnosis and monitoring with quantitative polymerase chain reaction. Int Ophthalmol. 2009;29:199-201.
26. Yin PD, Kurup SK, Fischer SH, et al. Progressive outer retinal necrosis in the era of highly active antiretroviral therapy: successful management with intravitreal injections and monitoring with quantitative PCR. J Clin Virol. 2007;38:254-259.
27. Bernheim D, Germi R, Labetoulle M, et al. Time profile of viral DNA in aqueous humor samples of patients treated for varicella-zoster virus acute retinal necrosis by use of quantitative real-time PCR. J Clin Microbiol. 2013;51:2160-2166.
28. Wong RW, Jumper JM, McDonald HR, et al. Emerging concepts in the management of acute retinal necrosis. Br J Ophthalmol. 2013;97:545-552.
29. Ganatra JB, Chandler D, Santos C, et al. Viral causes of the acute retinal necrosis syndrome. Am J Ophthalmol. 2000;129:166-172.
30. Tran TH, Stanescu D, Caspers-Velu L, et al. Clinical characteristics of acute HSV-2 retinal necrosis. Am J Ophthalmol. 2004;137:872-879.
31. Van Gelder RN, Willig JL, Holland GN, Kaplan HJ. Herpes simplex virus type 2 as a cause of acute retinal necrosis syndrome in young patients. Ophthalmology. 2001;108:869-876.
32. Blumenkranz MS, Culbertson WW, Clarkson JG, Dix R. Treatment of the acute retinal necrosis syndrome with intravenous acyclovir. Ophthalmology. 1986;93:296-300.
33. Duker JS, Blumenkranz MS. Diagnosis and management of the acute retinal necrosis (ARN) syndrome. Surv Ophthalmol. 1991;35:327-343.
34. Morse LS, Mizoguchi M. Diagnosis and management of viral retinitis in the acute retinal necrosis syndrome. Semin Ophthalmol. 1995;10:28-41.
35. Weller S, Blum MR, Doucette M, et al. Pharmacokinetics of the acyclovir pro-drug valaciclovir after escalating single- and multiple-dose administration to normal volunteers. Clin Pharmacol Ther. 1993;54:595-605.
36. Beutner KR, Friedman DJ, Forszpaniak C, et al. Valaciclovir compared with acyclovir for improved therapy for herpes zoster in immunocompetent adults. Antimicrob Agents Chemother. 1995;39:1546-1553.
37. Lycke J, Malmestrom C, Stahle L. Acyclovir levels in serum and cerebrospinal fluid after oral administration of valacyclovir. Antimicrob Agents Chemother. 2003;47:2438-2441.
38. Aizman A, Johnson MW, Elner SG. Treatment of acute retinal necrosis syndrome with oral antiviral medications. Ophthalmology. 2007;114:307-312.
39. Aslanides IM, De Souza S, Wong DT, et al. Oral valacyclovir in the treatment of acute retinal necrosis syndrome. Retina. 2002;22:352-354.
40. Huynh TH, Johnson MW, Comer GM, Fish DN. Vitreous penetration of orally administered valacyclovir. Am J Ophthalmol. 2008;145:682-686.
41. Meghpara B, Sulkowski G, Kesen MR, et al. Long-term follow-up of acute retinal necrosis. Retina. 2010;30:795-800.
42. Wong R, Pavesio CE, Laidlaw DA, et al. Acute retinal necrosis: the effects of intravitreal foscarnet and virus type on outcome. Ophthalmology. 2010;117:556-560.
43. King J, Chung M, DiLoreto DA Jr A 9 year-old girl with herpes simplex virus type 2 acute retinal necrosis treated with intravitreal foscarnet. Ocul Immunol Inflamm. 2007;15:395-398.
44. Lee MY, Kim KS, Lee WK. Intravitreal foscarnet for the treatment of acyclovir-resistant acute retinal necrosis caused by varicella zoster virus. Ocul Immunol Inflamm 2011;19:212-213.
45. Patel P, Ahmed E, Subramanian ML. Intravitreal Foscarnet Therapy for Acyclovir-Resistant Acute Retinal Necrosis After Herpes Simplex Encephalitis. Ophthalmic Surg Lasers Imaging. 2010:1-3.
46. Meffert SA, Kertes PJ, Lim PL, et al. Successful treatment of progressive outer retinal necrosis using high-dose intravitreal ganciclovir. Retina. 1997;17:560- 562.
47. Perez-Blazquez E, Traspas R, Mendez Marin I, Montero M. Intravitreal ganciclovir treatment in progressive outer retinal necrosis. Am J Ophthalmol. 1997;124:418-421.
48. Kishore K, Jain S, Zarbin MA. Intravitreal ganciclovir and dexamethasone as adjunctive therapy in the management of acute retinal necrosis caused by varicella zoster virus. Ophthalmic Surg Lasers Imaging. 2011;42 Online:e87-90.
49. Luu KK, Scott IU, Chaudhry NA, et al. Intravitreal antiviral injections as adjunctive therapy in the management of immunocompetent patients with necrotizing herpetic retinopathy. Am J Ophthalmol. 2000;129:811-813.
50. Arevalo JF, Garcia RA, Mendoza AJ. High-dose (5000-microg) intravitreal ganciclovir combined with highly active antiretroviral therapy for cytomegalovirus retinitis in HIV-infected patients in Venezuela. Eur J Ophthalmol. 2005;15:610- 618.
51. Kappel PJ, Charonis AC, Holland GN, et al. Outcomes associated with ganciclovir implants in patients with AIDS-related cytomegalovirus retinitis. Ophthalmology. 2006;113:683 e681-688.
52. Martin DF, Dunn JP, Davis JL, et al. Use of the ganciclovir implant for the treatment of cytomegalovirus retinitis in the era of potent antiretroviral therapy: recommendations of the International AIDS Society-USA panel. Am J Ophthalmol. 1999;127:329-339.
53. Gilbert C, Bestman-Smith J, Boivin G. Resistance of herpesviruses to antiviral drugs: clinical impacts and molecular mechanisms. Drug Resist Updat. 2002;5:88-114.
54. Balfour HH Jr, Benson C, Braun J, et al. Management of acyclovir-resistant herpes simplex and varicella-zoster virus infections. J Acquir Immune Defic Syndr. 1994;7:254-260.
55. Breton G, Fillet AM, Katlama C, et al. Acyclovir-resistant herpes zoster in human immunodeficiency virus-infected patients: results of foscarnet therapy. Clin Infect Dis. 1998;27:1525-1527.
56. Hatchette T, Tipples GA, Peters G, et al. Foscarnet salvage therapy for acyclovir-resistant varicella zoster: report of a novel thymidine kinase mutation and review of the literature. Pediatr Infect Dis J. 2008;27:75-77.
57. Jabs DA, Enger C, Forman M, Dunn JP. Incidence of foscarnet resistance and cidofovir resistance in patients treated for cytomegalovirus retinitis. The Cytomegalovirus Retinitis and Viral Resistance Study Group. Antimicrob Agents Chemother. 1998;42:2240-2244.
58. Park JJ, Pavesio C. Prophylactic laser photocoagulation for acute retinal necrosis. Does it raise more questions than answers? Br J Ophthalmol. 2008;92:1161-1162.
59. McDonald HR, Lewis H, Kreiger AE, et al. Surgical management of retinal detachment associated with the acute retinal necrosis syndrome. Br J Ophthalmol. 1991;75:455-458.
60. Tibbetts MD, Shah CP, Young LH, et al. Treatment of acute retinal necrosis. Ophthalmology. 2010;117:818-824.
61. Han DP, Lewis H, Williams GA, et al. Laser photocoagulation in the acute retinal necrosis syndrome. Arch Ophthalmol. 1987;105:1051-1054.
62. Sternberg P Jr, Han DP, Yeo JH, et al. Photocoagulation to prevent retinal detachment in acute retinal necrosis. Ophthalmology. 1988;95:1389-1393.
63. Blumenkranz M, Clarkson J, Culbertson WW, et al. Visual results and complications after retinal reattachment in the acute retinal necrosis syndrome. The influence of operative technique. Retina. 1989;9:170-174.
64. Ahmadieh H, Soheilian M, Azarmina M, et al. Surgical management of retinal detachment secondary to acute retinal necrosis: clinical features, surgical techniques, and long-term results. Jpn J Ophthalmol. 2003;47:484-491.
65. Davis JL, Serfass MS, Lai MY, et al. Silicone oil in repair of retinal detachments caused by necrotizing retinitis in HIV infection. Arch Ophthalmol. 1995;113:1401-1409.
66. Hillenkamp J, Nolle B, Bruns C, et al. Acute retinal necrosis: clinical features, early vitrectomy, and outcomes. Ophthalmology. 2009;116:1971-1975 e1972.
67. Ishida T, Sugamoto Y, Sugita S, Mochizuki M. Prophylactic vitrectomy for acute retinal necrosis. Jpn J Ophthalmol. 2009;53:486-489.
68. Usui Y, Takeuchi M, Yamauchi Y, et al. [Pars plana vitrectomy in patients with acute retinal necrosis syndrome: surgical results in 52 patients]. Nihon Ganka Gakkai Zasshi. 2010;114:362-368.
69. Chang S, Young LH. Acute retinal necrosis: an overview. Int Ophthalmol. Clin 2007;47:145-154.
70. Kawaguchi T, Spencer DB, Mochizuki M. Therapy for acute retinal necrosis. Semin Ophthalmol. 2008;23:285-290.
71. Holland GN, Lewis KG. An update on current practices in the management of ocular toxoplasmosis. Am J Ophthalmol. 2002;134:102-114.
72. Soheilian M, Sadoughi MM, Ghajarnia M, et al. Prospective randomized trial of trimethoprim/sulfamethoxazole versus pyrimethamine and sulfadiazine in the treatment of ocular toxoplasmosis. Ophthalmology. 2005;112:1876-1882.
73. Aldave AJ, King JA, Cunningham ET Jr Ocular syphilis. Curr Opin Ophthalmol. 2001;12:433-441.







